欢迎光临:莱耀标准品网!
 您的位置:对照品 > 标准物质 > 铁标准物质 >
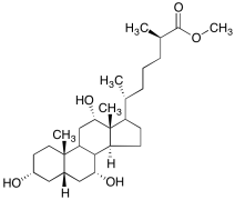
Methyl 3α,7α,12α-Trihydroxy-5β-cholestanoate
产品基本信息
产品编号:M263700
产品名称:Methyl 3α,7α,12α-Trihydroxy-5β-cholestanoate
产品CAS:23740-22-9
规格含量:5mg
产品价格:面议
联系我们:
产品详细介绍
标准品编号: M263700
名称: Methyl 3α,7α,12α-Trihydroxy-5β-cholestanoate
别名: (25R)-3α,7α,12α-Trihydroxy-5β-cholestan-26-oic Acid Methyl Ester; (3α,5β,7α,12α,25R)-3,7,12-Trihydroxy-cholestan-26-oic Acid Methyl Ester;
CAS号: 23740-22-9
分子式: C₂₈H₄₈O₅
外观: Brown Solid
分子量: 464.68
种类: Standards; Steroids; Enzyme Activators and Inhibitors; Pharmaceutical/API Drug Impurities/Metabolites;
应用: Methyl 3α,7α,12α-trihydroxy-5β-cholestanoate is an intermediate in the synthesis of (25R)-3β,7α,12α-Trihydroxy-5-cholestenoic Acid (T795130), which is an oxysterol, an oxidized derivatives of cholesterol (C432501), which may be important in many biological processes, including cholesterol homeostasis, atherosclerosis, sphingolipid metabolism, platelet aggregation, apoptosis, and protein prenylation,[1] though their roles are poorly understood.
参考文献


2011-2018 信阳莱耀生物科技有限公司 版权所有

中检所标准品,对照品,标准气体
Keywords: 中检所标准品 对照品 标准气体