您的位置:对照品 > 标准物质 > 铁标准物质 > |
|
|
|
| 产品基本信息 |
|
| 产品编号:M111015 |
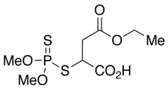
| 产品名称:Malathion α-Monoacid |
| 产品CAS:1190-29-0 |
| 规格含量:100mg |
| 产品价格:面议 |
| 联系我们: |
|
|
|
|
|
| 产品详细介绍 |
| 标准品编号: |
M111015 |
| 名称: |
Malathion α-Monoacid |
| 别名: |
2-[(Dimethoxyphosphinothioyl)thio]butanedioic Acid 4-Ethyl Ester; Malathion α-Monocarboxylic Acid; O,O-Dimethyl S-(1-carboxy-2-carbethoxy)ethyl Phosphorodithioate; |
| CAS号: |
1190-29-0 |
| 分子式: |
C₈H₁₅O₆PS₂ |
| 外观: |
Colourless Oil |
| 分子量: |
302.3 |
| 储存: |
Hygroscopic, -20°C Freezer, Under inert atmosphere |
| 溶解度: |
Chloroform (Slightly), Methanol (Slightly) |
| 稳定性: |
Moisture Sensitive |
| 种类: |
Standards; Environmental Standards, Mutagens and Metabolites; |
| 应用: |
A major biodegradation product of Malathion (M111000). |
| 危险品: |
Not a dangerous good if item is equal to or less than 1g/ml and there is less than 100g/ml in the package |
| 参考文献 |
|
|
|
|
|
|