您的位置:对照品 > 标准物质 > 铁标准物质 > |
|
|
|
| 产品基本信息 |
|
| 产品编号:H944637 |
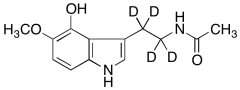
| 产品名称:4-Hydroxymelatonin-d4 |
| 产品CAS: |
| 规格含量:10mg |
| 产品价格:面议 |
| 联系我们: |
|
|
|
|
|
| 产品详细介绍 |
| 标准品编号: |
H944637 |
| 名称: |
4-Hydroxymelatonin-d4 |
| 别名: |
N-[2-(4-hydroxy-5-methoxy-1H-indol-3-yl)ethyl]acetamide-d4 |
| 参考CAS号: |
Unlabelled: 39998-64-6 |
| 分子式: |
C₁₃H₁₂D₄N₂O₃ |
| 分子量: |
252.3 |
| 种类: |
Standards; Isotopic Labeled Analogues; Pharmaceutical/API Drug Impurities/Metabolites; |
| 应用: |
4-Hydroxymelatonin-d4, is the labeled analogue of 4-Hydroxymelatonin (H944635), which is a metabolite of Melatonin (M215000). |
| 参考文献 |
|
|
|
|
|
|