您的位置:对照品 > 标准物质 > 铁标准物质 > |
|
|
|
| 产品基本信息 |
|
| 产品编号:H593402 |
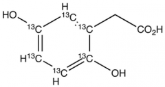
| 产品名称:Homogentisic Acid-13C6 |
| 产品CAS:1216468-48-2 |
| 规格含量:10mg |
| 产品价格:面议 |
| 联系我们: |
|
|
|
|
|
| 产品详细介绍 |
| 标准品编号: |
H593402 |
| 名称: |
Homogentisic Acid-13C6 |
| 别名: |
2,5-Dihydroxybenzeneacetic Acid-13C6; 2,5-Dihydroxy-α-toluic Acid-13C6; 2,5-Dihydroxyphenylacetic Acid-13C6; Alcapton-13C6; Homogentisinic Acid-13C6; NSC 88940-13C6; |
| CAS号: |
1216468-48-2 |
| 参考CAS号: |
451-13-8-unlabelled |
| 分子式: |
C₂¹³C₆H₈O₄ |
| 外观: |
Light Pink to Beige Solid |
| 熔点: |
133-136°C (dec.) |
| 分子量: |
174.1 |
| 储存: |
冰箱 |
| 溶解度: |
Methanol |
| 种类: |
Standards; Isotopic Labeled Analogues; |
| 应用: |
Labelled Homogentisic acid. An intermediate in the metabolism of tyrosine and phenylalanine. Occurs in plants and in the urine of alkaptonurics. |
| 参考文献 |
|
|
|
|
|
|
|
|