欢迎光临:莱耀标准品网!
 您的位置:对照品 > 标准物质 > 铁标准物质 >
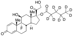
9α-Fluoroprednisolone 17-Valerate-d9
产品基本信息
产品编号:F595617
产品名称:9α-Fluoroprednisolone 17-Valerate-d9
产品CAS:
规格含量:2.5mg
产品价格:面议
联系我们:
产品详细介绍
标准品编号: F595617
名称: 9α-Fluoroprednisolone 17-Valerate-d9
别名: 9-Fluoro-11β,17,21-trihydroxy-pregna-1,4-diene-3,20-dione 17-valerate-d9; 9-Fluoro-11β,17,21-dihydroxy-pregna-1,4-diene-3,20-dione 17-valerate-d9;
参考CAS: 2802-10-0 Unlabelled
分子式: C₂₆H₂₆D₉FO₆
分子量: 471.61
种类: Standards; Isotopic Labeled Analogues; Pharmaceutical/API Drug Impurities/Metabolites; Steroids;
应用: 9α-Fluoroprednisolone 17-Valerate-d9 is the isotope labelled analog of 9α-Fluoroprednisolone 17-Valerate. 9α-Fluoroprednisolone 17-valerate is an impurity of prednisolone (P703740), which synthetic corticosteroid; metabolically interconvertible with prednisone.
参考文献


2011-2018 信阳莱耀生物科技有限公司 版权所有

中检所标准品,对照品,标准气体
Keywords: 中检所标准品 对照品 标准气体