您的位置:对照品 > 标准物质 > 铁标准物质 > |
|
|
|
| 产品基本信息 |
|
| 产品编号:F248800 |
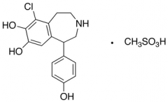
| 产品名称:Fenoldopam Mesylate |
| 产品CAS:67227-57-0 |
| 规格含量:10mg |
| 产品价格:面议 |
| 联系我们: |
|
|
|
|
|
| 产品详细介绍 |
| 标准品编号: |
F248800 |
| 名称: |
Fenoldopam Mesylate |
| 别名: |
6-Chloro-2,3,4,5-tetrahydro-1-(4-hydroxyphenyl)-1H-3-benzazepine-7,8-diol; Methanesulfonate; Corlopam; Fenoldopam Methanesulfonate; Fenoldopam Monomethanesulfonate; SKF 82526J; |
| CAS号: |
67227-57-0 |
| 参考CAS: |
freebase: 67227-56-9 |
| 分子式: |
C₁₇H₂₀ClNO₆S |
| 外观: |
白色至白色固体 |
| 熔点: |
263-269°C (dec.) |
| 分子量: |
401.86 |
| 储存: |
-20˚C Freezer |
| 溶解度: |
DMSO (Slightly), Methanol (Slightly) |
| 种类: |
Standards; Pharmaceutical/API Drug Impurities/Metabolites; |
| 应用: |
Dopamine D1-receptor agonist. Antihypertensive. |
| 参考文献 |
|
|
|
|
|
|