欢迎光临:莱耀标准品网!
 您的位置:对照品 > 标准物质 > 铁标准物质 >
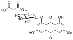
Emodin 8-O-β-D-(6’-O-Malonylglucoside)
产品基本信息
产品编号:E523020
产品名称:Emodin 8-O-β-D-(6’-O-Malonylglucoside)
产品CAS:928262-58-2
规格含量:50mg
产品价格:面议
联系我们:
产品详细介绍
标准品编号: E523020
名称: Emodin 8-O-β-D-(6’-O-Malonylglucoside)
别名: 8-[[6-O-(2-Carboxyacetyl)-β-D-glucopyranosyl]oxy]-1,6-dihydroxy-3-methyl-9,10-anthracenedione
CAS号: 928262-58-2
分子式: C₂₄H₂₂O₁₃
分子量: 518.42
种类: Standards; Pharmaceutical/API Drug Impurities/Metabolites;
应用: Emodin 8-O-β-D-(6’-O-malonylglucoside) is a metabolite of emodin (E523000).
参考文献


2011-2018 信阳莱耀生物科技有限公司 版权所有

中检所标准品,对照品,标准气体
Keywords: 中检所标准品 对照品 标准气体