您的位置:对照品 > 标准物质 > 铁标准物质 > |
|
|
|
| 产品基本信息 |
|
| 产品编号:D460610 |
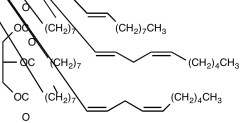
| 产品名称:1,2-Dilinoleoyl-3-oleoyl-rac-glycerol |
| 产品CAS:2190-21-8 |
| 规格含量:50mg |
| 产品价格:面议 |
| 联系我们: |
|
|
|
|
|
| 产品详细介绍 |
| 标准品编号: |
D460610 |
| 名称: |
1,2-Dilinoleoyl-3-oleoyl-rac-glycerol |
| 别名: |
OLL; USP Sesame Oil Related Compound A: |
| CAS号: |
2190-21-8 |
| 分子式: |
C₅₇H₁₀₀O₆ |
| 外观: |
Clear Colourless to Pale Yellow Oil |
| 熔点: |
N/A |
| 分子量: |
881.4 |
| 储存: |
Amber Vial, -86°C Freezer, Under inert atmosphere |
| 溶解性: |
Chloroform (Slightly), Ethyl Acetate (Slightly), Methanol (Slightly) |
| 稳定性: |
Light Sensitive, Temperature Sensitive |
| 种类: |
Standards; Lipids/Fatty Acids, Glycerol Derivatives; |
| 应用: |
1,2-Dilinoleoyl-3-oleoyl-rac-glycerol is a triacylglycerol found in sesame oil. |
| 参考文献 |
|
|
|
|
|
|
|
|