您的位置:对照品 > 标准物质 > 铁标准物质 > |
|
|
|
| 产品基本信息 |
|
| 产品编号:D288850 |
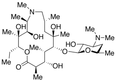
| 产品名称:Descladinose Azithromycin |
| 产品CAS:117693-41-1 |
| 规格含量:25mg |
| 产品价格:面议 |
| 联系我们: |
|
|
|
|
|
| 产品详细介绍 |
| 标准品编号: |
D288850 |
| 名称: |
Descladinose Azithromycin |
| 别名: |
(2R,3S,4R,5R,8R,10R,11R,12S,13S,14R)-2-Ethyl-3,4,10,13-tetrahydroxy-3,5,6,8,10,12,14-heptamethyl-11-[[3,4,6-trideoxy-3-(dimethylamino)-β-D-xylo-hexopyranosyl]oxy]-1-oxa-6-azacyclopentadecan-15-one; CP 66458; Desosaminylazithromycin; Azithromycin Impurity J; Azithromycin EP Impurity J |
| 杂质: |
Azithromycin EP Impurity J |
| CAS号: |
117693-41-1 |
| 分子式: |
C₃₀H₅₈N₂O₉ |
| 外观: |
白色至Pale Green Solid |
| 熔点: |
113-118°C |
| 分子量: |
590.79 |
| 储存: |
-20ËšC Freezer, Under Inert Atmosphere |
| 溶解性: |
Chloroform (Slightly), Methanol (Slightly) |
| 种类: |
Standards; Chiral Molecules; Pharmaceutical/API Drug Impurities/Metabolites; Carbohydrates and Oligosaccharides; Semi-Synthetic; |
| 应用: |
Descladinose Azithromycin (Azithromycin EP Impurity J) is a metabolite of the semi-synthetic macrolide antibiotic Azithromycin (A927000). |
| 参考文献 |
|
|
|
|
|
|
|
|