您的位置:对照品 > 标准物质 > 铁标准物质 > |
|
|
|
| 产品基本信息 |
|
| 产品编号:D231252 |
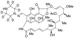
| 产品名称:N-Demethyl Rifampicin-d8 |
| 产品CAS: |
| 规格含量:10mg |
| 产品价格:面议 |
| 联系我们: |
|
|
|
|
|
| 产品详细介绍 |
| 标准品编号: |
D231252 |
| 名称: |
N-Demethyl Rifampicin-d8 |
| 别名: |
3-[(1-Piperazinylimino-d8)methyl]rifamycin; 3-(Piperazino-d8)iminomethyl Rifamycin SV; 4-N-Demethylrifampicin-d8; AF/AP-d8; Demethylrifampicin-d8; N-Demethylrifampicin-d8; N-Demethylrifampin-d8; NSC 143416-d8; Rifampicin AF/AP-d8; Rifampin; |
| 参考CAS号: |
13292-45-0-未标记 |
| 分子式: |
C₄₂H₄₈D₈N₄O₁₂ |
| 外观: |
Dark Red Solid |
| 分子量: |
816.96 |
| 储存: |
Amber Vial, -20°C Freezer, Under inert atmosphere |
| 溶解性: |
Chloroform (Slightly), Methanol (Slightly) |
| 稳定性: |
Light Sensitive |
| 种类: |
Standards; Chiral Molecules; Isotopic Labeled Analogues; Pharmaceutical/API Drug Impurities/Metabolites; |
| 应用: |
Labelled N-Demethyl Rifampicin (D231250). N-Demethyl Rifampicin is a metabolite of Rifampicin (R508000). |
| 参考文献 |
|
|
|
|
|
|