欢迎光临:莱耀标准品网!
 您的位置:对照品 > 标准物质 > 铁标准物质 >
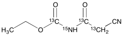
N-Cyanoacetylurethane-13C3,15N2
产品基本信息
产品编号:C955402
产品名称:N-Cyanoacetylurethane-13C3,15N2
产品CAS:
规格含量:25mg
产品价格:面议
联系我们:
产品详细介绍
标准品编号: C955402
名称: N-Cyanoacetylurethane-13C3,15N2
别名: N-(2-Cyanoacetyl)carbamic Acid Ethyl Ester-13C3,15N2; (Cyanoacetyl)carbamic Acid Ethyl Ester-13C3,15N2; Cyanoacetylurethan-13C3,15N2; Ethyl N-(cyanoacetyl)carbamate-13C3,15N2; Ethyl Cyanoacetylcarbamate-13C3,15N2; N-Carbethoxy-2-cyanoacetamide-13C3,15N2; N-Cyanoacetylurethane-13C3,15N2; NSC 59709-13C3,15N2
参考CAS: 05/04/6629
分子式: C₃¹³C₃H₈N¹⁵NO₃
外观: Yellow Solid
分子量: 160.11
储存: 冰箱保存 (0°C)
溶解度: Methanol; DMSO;
类别: Building Blocks; Isotopic Labeled Analogues;
应用: N-Cyanoacetylurethane-13C3,15N2 is an intermediate for the synthesis of Diclazuril-13C3,15N2 (D436202), which is the labelled analogue of Diclazuril (D436200). Diclazuril is a nucleotide analogue with broad-spectrum anticoccidial activity and a coccidiostat.
参考文献


2011-2018 信阳莱耀生物科技有限公司 @ 信阳埃尔文生物科技有限公司版权所有

中检所标准品,对照品,标准气体
Keywords: 中检所标准品 对照品 标准气体