欢迎光临:莱耀标准品网!
 您的位置:对照品 > 标准物质 > 农残标准物质 >
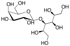
Lactitol
产品基本信息
产品编号:L113550
产品名称:Lactitol
产品CAS:585-86-4
规格含量:5g
产品价格:面议
联系我们:
产品详细介绍
标准品编号: L113550
名称: Lactitol
别名: 4-O-β-D-Galactopyranosyl-D-glucitol; D-4-O-β-D-Galactopyranosyl-glucitol; Lactitol; D-Lactitol; Finlac DC; Importal; Lactiobiosit; Lactit; Lactit M; Lactite; Lactitol ACM 50; Lactitol LC 0; Lactosit; Lactositol; Lacty; Lacty (saccharide); Lacty M; Lacty-Tab; Milchen; Miruhen; NSC 231323
CAS号: 585-86-4
分子式: C₁₂H₂₄O₁₁
外观: 白色至白色固体
熔点: 150-153°C
分子量: 344.31
储存: Hygroscopic, 冰箱, under inert atmosphere
溶解度: Water (Slightly)
种类: Research Tools; Pharmaceutical/API Drug Impurities/Metabolites;
应用: Lactitol is listed as an excipient in some prescription drugs, such as Adderall. Lactitol is a sugar alcohol used as a replacement bulk sweetener for low calorie foods. It is also used medically as a laxative.
参考文献


2011-2018 信阳莱耀生物科技有限公司 版权所有

中检所标准品,对照品,标准气体
Keywords: 中检所标准品 对照品 标准气体