您的位置:对照品 > 标准物质 > 农残标准物质 > |
|
|
|
| 产品基本信息 |
|
| 产品编号:I874503 |
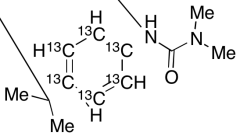
| 产品名称:Isoproturon-13C6 |
| 产品CAS: |
| 规格含量:50mg |
| 产品价格:面议 |
| 联系我们: |
|
|
|
|
|
| 产品详细介绍 |
| 标准品编号: |
I874503 |
| 名称: |
Isoproturon-13C6 |
| 别名: |
N,N-Dimethyl-N'-[4-(1-methylethyl)phenyl]urea; N,N-Dimethyl-N'-(4-isopropylphenyl)urea-13C6; 3-p-Cumenyl-1,1-dimethylurea-13C6; 3-(4-Isopropylphenyl)-1,1-dimethylurea-13C6; Alon-13C6; Arelon R-13C6; CGA 18731-13C6; CL 12150-13C6; DPX 6774-13C6; Graminon-13C6; HOE 16410-13C6; Harpun-13C6; Izoturon-13C6; Protugan-13C6; Tolkan-13C6; |
| 参考CAS号: |
34123-59-6 Unlabelled |
| 分子式: |
C₆¹³C₆H₁₈N₂O |
| 分子量: |
212.24 |
| 种类: |
Research Tools; |
| 应用: |
Isoproturon-13C6 is labelled Isoproturon (I874500) which is a pre-and post-emergence herbicide for control of annual grasses and broad-leaved weeds. |
| 参考文献 |
|
|
|
|
|
|