您的位置:对照品 > 标准物质 > 农残标准物质 > |
|
|
|
| 产品基本信息 |
|
| 产品编号:I728252 |
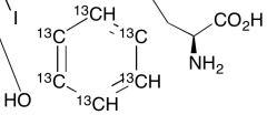
| 产品名称:3-Iodo-tyrosine-13C6 |
| 产品CAS: |
| 规格含量:50mg |
| 产品价格:面议 |
| 联系我们: |
|
|
|
|
|
| 产品详细介绍 |
| 标准品编号: |
I728252 |
| 名称: |
3-Iodo-tyrosine-13C6 |
| 别名: |
3-Iodo-4-hydroxyphenylalanine-13C6; 3-Iodo-L-tyrosine-13C6; 3-Iodotyrosine-13C6; 4-Hydroxy-3-iodophenylalanine-13C6; MIT-13C6; MIT (amino acid)-13C6; NSC 210787-13C6 |
| 参考CAS号: |
Unlabelled: 70-78-0 |
| 分子式: |
C₃¹³C₆H₁₀INO₃ |
| 外观: |
白色至白色固体 |
| 熔点: |
>192°C (dec.) |
| 分子量: |
313.04 |
| 储存: |
-20°C Freezer |
| 溶解度: |
Aqueous Acid (Slightly), Aqueous Base (Slightly), Methanol (Slightly) |
| 种类: |
Research Tools; Chiral Molecules; Amino Acids; Isotopic Labeled Analogues; Enzyme Activators and Inhibitors; |
| 应用: |
Isotope labelled flavoprotein responsible for iodide salvage in thyroid glands. A tyrosine hydroxylase inhibitor. |
| 参考文献 |
|
|
|
|
|
|