您的位置:对照品 > 标准物质 > 农残标准物质 > |
|
|
|
| 产品基本信息 |
|
| 产品编号:H998102 |
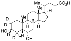
| 产品名称:α-Hyodeoxycholic Acid-d5 |
| 产品CAS: |
| 规格含量:10mg |
| 产品价格:面议 |
| 联系我们: |
|
|
|
|
|
| 产品详细介绍 |
| 标准品编号: |
H998102 |
| 名称: |
α-Hyodeoxycholic Acid-d5 |
| 别名: |
(3α,5β,6α)-3,6-Dihydroxycholan-24-oic Acid-d5; 3α,6α-Dihydroxy-5β-cholan-24-oate-d5; 3α,6α-Dihydroxy-5β-cholan-24-oic Acid-d5; 6α-Hydroxylithocholic Acid-d5; 7-Deoxyhyocholic Acid-d5; Hyodeoxycholic Acid-d5; Hyodesoxycholic Acid-d5; Iodeoxycholic Acid-d5; NSC 60672-d5; |
| 参考CAS号: |
83-49-8-unlabelled |
| 分子式: |
C₂₄H₃₅D₅O₄ |
| 外观: |
白色至白色固体 |
| 熔点: |
194-198°C |
| 分子量: |
397.6 |
| 储存: |
-20˚C Freezer |
| 溶解度: |
DMSO (Slightly), Ethanol (Slightly), Methanol (Slightly) |
| 种类: |
Standards; Steroids; Isotopic Labeled Analogues; Pharmaceutical/API Drug Impurities/Metabolites; |
| 应用: |
Labelled Hyodeoxycholic Acid. Unlabelled version is isolated from pig bile. Antitumor agent. |
| 参考文献 |
|
|
|
|
|
|
|
|