欢迎光临:莱耀标准品网!
 您的位置:对照品 > 标准物质 > 农残标准物质 >
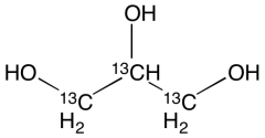
Glycerol-13C3
产品基本信息
产品编号:G598403
产品名称:Glycerol-13C3
产品CAS:63346-81-6
规格含量:100mg
产品价格:面议
联系我们:
产品详细介绍
标准品编号: G598403
名称: Glycerol-13C3
别名: 1,2,3-Propanetriol-13C3; 1,3-dihydroxy-2-propanol-13C3; Propanetriol-13C3; 1,2,3-Trihydroxypropane-13C3; Bulbold-13C3; Cognis G-13C3; Cristal-13C3; DG-13C3; DG Glycerin-13C3; E 422-13C3; Emery 916-13C3; GL 300-13C3; Glycerin-13C3; Glycerin DG-13C3; Glycerine-13C3; Glyceritol-13C3; Glycyl Alcohol-13C3; Glyrol-13C3; Glysanin-13C3; IFP-13C3; M 314429-13C3; Mackstat H 66-13C3; NSC 9230-13C3; Osmoglyn-13C3; Pricerine 9088-13C3; Pricerine 909-13C3; RG-13C3; RG-S-13C3; Trihydroxypropane-13C3;
CAS号: 63346-81-6
参考CAS号: 56-81-5
分子式: ¹³C₃H₈O₃
外观: Colourless Oil to Thick Oil
分子量: 95.07
储存: Hygroscopic, 冰箱, under inert atmosphere
溶解度: DMSO (Slightly), Methanol (Sparingly)
稳定性: Hygroscopic
种类: Standards; Food;
应用: Glycerol is used both in sample preparation and gel formation for polyacrylamide gel electrophoresis. Glycerol (5-10%) increases the density of a sample so that the sample will layer at the bottom of a gel’s sample well. Glycerol is also used to aid in casting gradient gels and as a protein stabilizer and storage buffer component. This is the labeled version.
参考文献


2011-2018 信阳莱耀生物科技有限公司 版权所有

中检所标准品,对照品,标准气体
Keywords: 中检所标准品 对照品 标准气体