欢迎光临:莱耀标准品网!
 您的位置:对照品 > 标准物质 > 农残标准物质 >
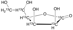
L-Gulono-1,4-lactone-13C6
产品基本信息
产品编号:G855002
产品名称:L-Gulono-1,4-lactone-13C6
产品CAS:
规格含量:10mg
产品价格:面议
联系我们:
产品详细介绍
标准品编号: G855002
名称: L-Gulono-1,4-lactone-13C6
别名: Reduced Ascorbic Acid-13C; Dihydroascorbic Acid-13C;
参考CAS号: Unlabelled: 1128-23-0
分子式: ¹³C₆H₁₀O₆
外观: 白色至白色固体
熔点: 186-188°C
分子量: 184.1
储存: 冰箱
溶解度: DMSO (Slightly), Methanol (Slightly)
种类: Standards; Isotopic Labeled Analogues; Carbohydrates and Oligosaccharides; Vitamin Derivatives;
应用: Isotope labelled L-Gulono-1,4-lactone, a precursor in the biosynthesis of ascorbic acid, one of the many forms of Vitamin C. A cleavage product of L-gulonolactone oxidase
参考文献


2011-2018 信阳莱耀生物科技有限公司 版权所有

中检所标准品,对照品,标准气体
Keywords: 中检所标准品 对照品 标准气体