您的位置:对照品 > 标准物质 > 农残标准物质 > |
|
|
|
| 产品基本信息 |
|
| 产品编号:E649985 |
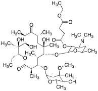
| 产品名称:Erythromycin Ethyl Succinate |
| 产品CAS:1264-62-6 |
| 规格含量:500mg |
| 产品价格:面议 |
| 联系我们: |
|
|
|
|
|
| 产品详细介绍 |
| 标准品编号: |
E649985 |
| 名称: |
Erythromycin Ethyl Succinate |
| 别名: |
2'-(Ethyl Succinate)erythromycin; Erythromycin Mono(ethyl Succinate) (Ester); Oxacyclotetradecane Erythromycin deriv.; Succinic Acid Ethyl Ester Monoester with Erythromycin; Anamycin; Arpimycin; Durapaediat; E-Mycin e; EES; Eritrocina; EryPed; Eryliquid; Erythro ES; Erythro-Holz; Erythrocin ethyl succinate; Erythroped; Esinol; Evesin; Monomycin; Paediathrocin; Pediamycin; Refkas; Sigapedil; Wyamycin E; |
| CAS号: |
1264-62-6 |
| 分子式: |
C₄₃H₇₅NO₁₆ |
| 外观: |
白色至淡黄色固体 |
| 熔点: |
122-127°C |
| 分子量: |
862.05 |
| 储存: |
Hygroscopic, -20°C Freezer, Under inert atmosphere |
| 溶解度: |
Acetone (Slightly), DMSO (Slightly), Methanol (Slightly) |
| 种类: |
Standards; Others; Pharmaceutical/API Drug Impurities/Metabolites; Antibotics; |
| 应用: |
Erythromycin Ethyl Succinate is a derivative of Erythromycin (E649950), an antibiotic. |
| 参考文献 |
|
|
|
|
|
|
|
|