欢迎光临:莱耀标准品网!
 您的位置:对照品 > 标准物质 > 农残标准物质 >
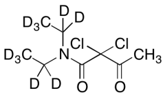
2,2-Dichloro-N,N-diethyl-d10-3-oxobutanamide
产品基本信息
产品编号:D442082
产品名称:2,2-Dichloro-N,N-diethyl-d10-3-oxobutanamide
产品CAS:
规格含量:5mg
产品价格:面议
联系我们:
产品详细介绍
标准品编号: D442082
名称: 2,2-Dichloro-N,N-diethyl-d10-3-oxobutanamide
别名: N,N-Diethyldichloroacetoacetamide-d10
参考CAS号: 16695-57-1
分子式: C₈H₃D₁₀Cl₂NO₂
分子量: 236.16
种类: Building Blocks; Isotopic Labeled Analogues; Miscellaneous;
应用: 2,2-Dichloro-N,N-diethyl-d10-3-oxobutanamide is an intermediate in the synthesis of Phosphamidon-d10 (E/Z mixture) (P353732), labelled Phosphamidon (P353730) which is an organophosphate insecticide. It acts as a cholinesterase inhibitor.
参考文献


2011-2018 信阳莱耀生物科技有限公司 版权所有

中检所标准品,对照品,标准气体
Keywords: 中检所标准品 对照品 标准气体