欢迎光临:莱耀标准品网!
 您的位置:对照品 > 标准物质 > 农残标准物质 >
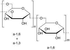
Dextran (Technical Grade~ 50K)
产品基本信息
产品编号:D299120
产品名称:Dextran (Technical Grade~ 50K)
产品CAS:9004-54-0
规格含量:50g
产品价格:面议
联系我们:
产品详细介绍
标准品编号: D299120
名称: Dextran (Technical Grade~ 50K)
别名: Dextrans; Dextranen; Dextraven; Eudextran; Expandex; Gentran; Hemodex; Hyscon; Hyskon; Infucoll; Intrader; Intradex; LMD; LMWD; LVD; Macrodex; Macrose; Oncovertin N; Onkotin; PL 1S; Plasmafusin; Plasmodex; Plavolex; Polyglucin; Polyglusol; Promit; Rheodextran; Rheoisodex; Rheomacrodex; Rheopolyglucin; Rheopolyglucine; Rheorondex; Rheotran; Rondex; Serva G; Ultradex; α-Dextran; Dextran 40000; Dextran PL 1S; Dextran PVD; Dextran RMI;
CAS号: 9004-54-0
分子式: H(C₆H₁₀O₅)ₓOH
外观: 白色固体
熔点: 230-270°C
分子量: 0
储存: 冰箱保存
溶解性: Water (Slightly), 1N NaOH (Slightly)
种类: Standards; Enzyme Activators and Inhibitors; Pharmaceutical/API Drug Impurities/Metabolites; Carbohydrates and Oligosaccharides;
应用: Dextran is a polysaccharide composed of glucose molecules used as an antithrombotic to reduce blood viscosity and as a volume expander in anemia. Studies show that it inhibits the mannose receptor-mediated clearance of tissue-type plasminogen activator (t-PA).
参考文献


2011-2018 信阳莱耀生物科技有限公司 @ 信阳埃尔文生物科技有限公司版权所有

中检所标准品,对照品,标准气体
Keywords: 中检所标准品 对照品 标准气体