欢迎光临:莱耀标准品网!
 您的位置:对照品 > 标准物质 > 农残标准物质 >
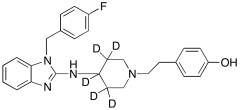
O-Desmethyl Astemizole-d5
产品基本信息
产品编号:D290752
产品名称:O-Desmethyl Astemizole-d5
产品CAS:
规格含量:5mg
产品价格:面议
联系我们:
产品详细介绍
标准品编号: D290752
名称: O-Desmethyl Astemizole-d5
别名: 4-[2-[4-[[1-[(4-Fluorophenyl)methyl]-1H-benzimidazol-2-yl]amino]-1-piperidinyl]ethyl]phenol-d5; Desmethylastemizole-d5; O-Demethylastemizole-d5; R 44271-d5;
参考CAS号: Unlableled: 73736-50-2
分子式: C₂₇H₂₄D₅FN₄O
分子量: 449.57
种类: Standards; Isotopic Labeled Analogues;
应用: O-Desmethyl Astemizole-d5 is the deuterated form of O-Desmethyl Astemizole (D290750), which is a metabolite of Astemizole; Also, it is derived from N-Carbethoxy-4-piperidone (C176120), which is used in the preparation of 3-hydrazinopyridazines as antihypertensive agents as well as γ-carboline derivatives as potential serotonergic agents. N-Carbethoxy-4-piperidone is also an impurity of Loratadine (L469575).
参考文献


2011-2018 信阳莱耀生物科技有限公司 @ 信阳埃尔文生物科技有限公司版权所有

中检所标准品,对照品,标准气体
Keywords: 中检所标准品 对照品 标准气体