欢迎光临:莱耀标准品网!
 您的位置:对照品 > 标准物质 > 农残标准物质 >
N-[[P(S),2'R]-2'-deoxy-3'-O-[(1,1-dimethylethyl)dimethylsilyl]-2'-fluoro-2'-methyl-P-pheny
产品基本信息
产品编号:D233032
产品名称:N-[[P(S),2'R]-2'-deoxy-3'-O-[(1,1-dimethylethyl)dimethylsilyl]-2'-fluoro-2'-methyl-P-pheny
产品CAS:
规格含量:1mg
产品价格:面议
联系我们:
产品详细介绍
标准品编号: D233032
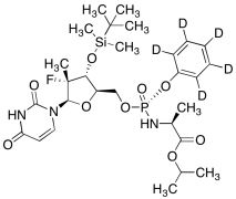
名称: N-[[P(S),2'R]-2'-deoxy-3'-O-[(1,1-dimethylethyl)dimethylsilyl]-2'-fluoro-2'-methyl-P-phenyl-5'-uridylyl]-L-alanine-d5 1-Methylethyl Ester
参考CAS号: 类似: 1256490-54-6
分子式: C₂₈H₃₈D₅FN₃O₉PSi
外观: 白色固体
分子量: 648.74
溶解性: Chloroform, Dichloromethane, Ethyl Acetate
种类: Standards; Isotopic Labeled Analogues;
应用: N-[[P(S),2'R]-2'-deoxy-3'-O-[(1,1-dimethylethyl)dimethylsilyl]-2'-fluoro-2'-methyl-P-phenyl-5'-uridylyl]-L-alanine-d5 1-Methylethyl Ester is an intermediate in synthesizing PSI-7977-D5 (P839643), an isotope labelled analog of PSI-7977. PSI-7977 is a prodrug that is metabolized to the active antiviral agent 2'-deoxy-2'-α-fluoro-β-C-methyluridine-5'-monophosphate and is currently being investigated in phase 3 clinical trials for the treatment of hepatitis C. Studies have profiled PSI-7977 as a nucleotide inhibitor of hepatitis C virus, exerting selective inhibitory effects towards HCV NS5B polymerase.
参考文献


2011-2018 信阳莱耀生物科技有限公司 @ 信阳埃尔文生物科技有限公司版权所有

中检所标准品,对照品,标准气体
Keywords: 中检所标准品 对照品 标准气体