欢迎光临:莱耀标准品网!
 您的位置:对照品 > 标准物质 > 计量院标准物质 >
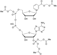
NAADP-AM (technical grade)
产品基本信息
产品编号:N190500
产品名称:NAADP-AM (technical grade)
产品CAS:1115066-04-0
规格含量:1mg
产品价格:面议
联系我们:
产品详细介绍
标准品编号: N190500
名称: NAADP-AM (technical grade)
CAS号: 1115066-04-0
分子式: C₃₃H₄₄N₆O₂₆P₃
分子量: 1033.65
种类: Standards; Chiral Molecules; Pharmaceutical/API Drug Impurities/Metabolites;
应用: NAADP-AM is a cell permeant analogue of NAADP (nicotinic acid adenine dinucleotide phosphate), which is a secondary messenger in calcium signaling in cells. NAADP-AM is a useful compound to investigate the biological roles of NAADP.
参考文献


2011-2018 信阳莱耀生物科技有限公司 版权所有

中检所标准品,对照品,标准气体
Keywords: 中检所标准品 对照品 标准气体