欢迎光临:莱耀标准品网!
 您的位置:对照品 > 标准物质 > 计量院标准物质 >
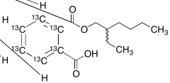
rac Mono(ethylhexyl) Phthalate-13C6
产品基本信息
产品编号:M542493
产品名称:rac Mono(ethylhexyl) Phthalate-13C6
产品CAS:
规格含量:2.5mg
产品价格:面议
联系我们:
产品详细介绍
标准品编号: M542493
名称: rac Mono(ethylhexyl) Phthalate-13C6
别名: Mono(2-ethylhexyl) Phthalate-13C6; 2-Ethylhexyl Hydrogen Phthalate-13C6; Phthalic Acid-13C6 Mono(2-ethylhexyl) Ester; 1,2-(Benzene-13C6)dicarboxylic Acid Mono(2-ethylhexyl) Ester; MEHP-13C6;
参考CAS号: Unlabelled: 4376-20-9
分子式: C₁₀¹³C₆H₂₂O₄
分子量: 284.3
种类: Standards; Pharmaceutical/API Drug Impurities/Metabolites; Environmental Standards, Mutagens and Metabolites;
应用: Isotope labelled Phthalate metabolite, responsible for inducing apoptosis in germ and Sertoli cells by disrupting junction complexes.
参考文献


2011-2018 信阳莱耀生物科技有限公司 版权所有

中检所标准品,对照品,标准气体
Keywords: 中检所标准品 对照品 标准气体