欢迎光临:莱耀标准品网!
 您的位置:对照品 > 标准物质 > 计量院标准物质 >
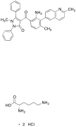
L-(+)-Lysine Dihydrochloride
产品基本信息
产品编号:L488520
产品名称:L-(+)-Lysine Dihydrochloride
产品CAS:657-26-1
规格含量:500mg
产品价格:面议
联系我们:
产品详细介绍
标准品编号: L488520
名称: L-(+)-Lysine Dihydrochloride
别名: L-Lysine Dihydrochloride; Lysine Dihydrochloride;
CAS号: 657-26-1
参考CAS号: 56-87-1
分子式: C₆H₁₄N₂O₂ • 2(HCl)
分子量: 146.1923646
种类: Standards; Pharmaceutical/API Drug Impurities/Metabolites;
应用: L-(+)-Lysine Dihydrochloride is an acidic salt of L-Lysine (L468895). L-Lysine is an essential amino acid for human development. Lysine residues are useful in many cellular processes, due to their ability to accept a wide variety of post-translational modifications.
参考文献


2011-2018 信阳莱耀生物科技有限公司 版权所有

中检所标准品,对照品,标准气体
Keywords: 中检所标准品 对照品 标准气体