您的位置:对照品 > 标准物质 > 计量院标准物质 > |
|
|
|
| 产品基本信息 |
|
| 产品编号:H972768 |
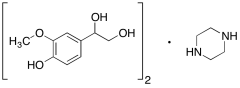
| 产品名称:4-Hydroxy-3-methoxyphenylglycol Hemipiperazinium Salt |
| 产品CAS:67423-45-4 |
| 规格含量:5mg |
| 产品价格:面议 |
| 联系我们: |
|
|
|
|
|
| 产品详细介绍 |
| 标准品编号: |
H972768 |
| 名称: |
4-Hydroxy-3-methoxyphenylglycol Hemipiperazinium Salt |
| 别名: |
1-(4-Hydroxy-3-methoxyphenyl)-1,2-ethanediol Piperazine Salt; |
| CAS号: |
67423-45-4 |
| 参考CAS号: |
Free Form: 534-82-7 |
| 分子式: |
2(C₉H₁₂O₄) • (C ₄H₁₀N₂) |
| 外观: |
白色固体 |
| 熔点: |
118-122°C |
| 分子量: |
2184.198614 |
| 储存: |
-20°C Freezer, Under inert atmosphere |
| 溶解度: |
Methanol (Slightly) |
| 种类: |
Standards; Pharmaceutical/API Drug Impurities/Metabolites; |
| 应用: |
4-Hydroxy-3-methoxyphenylglycol Hemipiperazinium Salt is a cerebral norepinephrine metabolite. |
| 参考文献 |
|
|
|
|
|
|