欢迎光临:莱耀标准品网!
 您的位置:对照品 > 标准物质 > 计量院标准物质 >
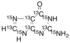
Guanine-13C5,15N5
产品基本信息
产品编号:G836004
产品名称:Guanine-13C5,15N5
产品CAS:1207522-89-1
规格含量:25mg
产品价格:面议
联系我们:
产品详细介绍
标准品编号: G836004
名称: Guanine-13C5,15N5
别名: 2-Amino-1,9-dihydro-6H-purin-6-one-13C5,15N5; 2-Amino-6-hydroxy-1H-purine-13C5,15N5; 2-Amino-6-hydroxypurine-13C5,15N5; 2-Aminohypoxanthine-13C5,15N5; 9H-Guanine-13C5,15N5; 2-Amino-hypoxanthine-13C5,15N5;
CAS号: 1207522-89-1
参考CAS号: 类似: 73-40-5
分子式: ¹³C₅H₅¹⁵N₅O
分子量: 161.06
种类: Standards; Isotopic Labeled Analogues;
应用: Guanine-13C5,15N5 is the isotope labelled analog of Guanine (G836000). Guanine is on one of the five nucleobases incorporated into biological nucleic acids. Guanine, along with adenine and cytosine, is present in both DNA and RNA, whereas thymine is usually seen only in DNA, and uracil only in RNA.
参考文献


2011-2018 信阳莱耀生物科技有限公司 版权所有

中检所标准品,对照品,标准气体
Keywords: 中检所标准品 对照品 标准气体