欢迎光临:莱耀标准品网!
 您的位置:对照品 > 标准物质 > 计量院标准物质 >
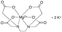
Ethylenediaminetetraacetic Acid Dipotassium Magnesium Salt
产品基本信息
产品编号:E918305
产品名称:Ethylenediaminetetraacetic Acid Dipotassium Magnesium Salt
产品CAS:15708-48-2
规格含量:250g
产品价格:面议
联系我们:
产品详细介绍
标准品编号: E918305
名称: Ethylenediaminetetraacetic Acid Dipotassium Magnesium Salt
别名: Potassium [(Ethylenedinitrilo)tetraacetato]magnesate; NSC 310175; [[N,N'-1,2-Ethanediylbis[N-[(carboxy-κO)methyl]glycinato-κN,κO]](4-)]magnesate(2-) Dipotassium Salt;
CAS号: 15708-48-2
参考CAS: 14852-71-2
分子式: C₁₀H₁₂MgN₂O₈ • 2K
分子量: 312.522391
种类: Building Blocks; Miscellaneous;
应用: Ethylenediaminetetraacetic Acid Dipotassium Magnesium Salt is a salt form of the chelating agent, EDTA.
参考文献


2011-2018 信阳莱耀生物科技有限公司 版权所有

中检所标准品,对照品,标准气体
Keywords: 中检所标准品 对照品 标准气体