您的位置:对照品 > 标准物质 > 环保部标准物质 > |
|
|
|
| 产品基本信息 |
|
| 产品编号:I901682 |
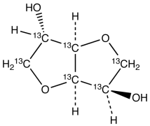
| 产品名称:Isosorbide-13C6 |
| 产品CAS:1322623-36-8 |
| 规格含量:10mg |
| 产品价格:面议 |
| 联系我们: |
|
|
|
|
|
| 产品详细介绍 |
| 标准品编号: |
I901682 |
| 名称: |
Isosorbide-13C6 |
| 别名: |
1,4:3,6-Dianhydro-D-glucitol-13C6; 1,4:3,6-Dianhydro-sorbitol13C6; (+)-D-Isosorbide-13C6; Devicoran-13C6; Hydronol-13C6; Ismotic-13C6; Isobide-13C6; NSC 40725-13C6; |
| CAS号: |
1322623-36-8 |
| 参考CAS号: |
类似: 652-67-5 |
| 分子式: |
¹³C₆H₁₀O₄ |
| 外观: |
Yellow Solid |
| 分子量: |
152.1 |
| 溶解度: |
Water |
| 种类: |
Standards; Isotopic Labeled Analogues; Pharmaceutical/API Drug Impurities/Metabolites; Carbohydrates and Oligosaccharides; |
| 应用: |
Reagent used to prepare detergents, cleansers, cosmetics, agrochemicals and vasodilators. |
| 参考文献 |
|
|
|
|
|
|