欢迎光临:莱耀标准品网!
 您的位置:对照品 > 标准物质 > 环保部标准物质 >
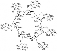
Heptakis(6-O-tert-butyldimethylsilyl)-β-cyclodextrin Tetradecaacetate
产品基本信息
产品编号:H281090
产品名称:Heptakis(6-O-tert-butyldimethylsilyl)-β-cyclodextrin Tetradecaacetate
产品CAS:123172-94-1
规格含量:2.5g
产品价格:面议
联系我们:
产品详细介绍
标准品编号: H281090
名称: Heptakis(6-O-tert-butyldimethylsilyl)-β-cyclodextrin Tetradecaacetate
别名: 6A,6B,6C,6D,6E,6F,6G-Heptakis-O-[(1,1-dimethylethyl)dimethylsilyl]-β-cyclodextrin 2A,2B,2C,2D,2E,2F,2G,3A,3B,3C,3D,3E,3F,3G-Tetradecaacetate; Heptakis(6-O-tert-butyldimethylsilyl-2,3-di-O-acetyl)-β-cyclodextrin; Hydrodex β-TBDAc
CAS号: 123172-94-1
分子式: C₁₁₂H₁₉₆O₄₉Si₇
外观: 白色固体
熔点: 144-150°C
分子量: 2523.32
储存: 冰箱, under inert atmosphere
溶解度: Chloroform, Dichloromethane, DMSO, Ethanol, Methanol
种类: Standards; Carbohydrates and Oligosaccharides;
应用: Compound used as stationary phase in HPLC columns to separate E and Z isomers
参考文献


2011-2018 信阳莱耀生物科技有限公司 版权所有

中检所标准品,对照品,标准气体
Keywords: 中检所标准品 对照品 标准气体