您的位置:对照品 > 标准物质 > 环保部标准物质 > |
|
|
|
| 产品基本信息 |
|
| 产品编号:G635420 |
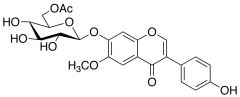
| 产品名称:Glycitin 6''-O-Acetate |
| 产品CAS:134859-96-4 |
| 规格含量: |
| 产品价格:面议 |
| 联系我们: |
|
|
|
|
|
| 产品详细介绍 |
| 标准品编号: |
G635420 |
| 名称: |
Glycitin 6''-O-Acetate |
| 别名: |
7-[(6-O-Acetyl-β-D-glucopyranosyl)oxy]-3-(4-hydroxyphenyl)-6-methoxy-4H-1-benzopyran-4-one; 6''-O-Acetylglycitin; Glycitein 6''-O-Acetylglucoside; Glycitein 7-(6-O-Acetyl-β-D-glucopyranoside); |
| CAS号: |
134859-96-4 |
| 分子式: |
C₂₄H₂₄O₁₁ |
| 分子量: |
488.44 |
| 种类: |
Standards; Pharmaceutical/API Drug Impurities/Metabolites; |
| 应用: |
A metabolite of isoflavone derivatives. A derivative of Glycitein (G635410). Inhibitor. |
| 参考文献 |
|
|
|
|
|
|