欢迎光临:莱耀标准品网!
 您的位置:对照品 > 标准物质 > 环保部标准物质 >
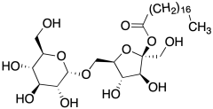
α-D-Glucopyranoside-β-D-fructofuranosyl Octadecanoate
产品基本信息
产品编号:G596645
产品名称:α-D-Glucopyranoside-β-D-fructofuranosyl Octadecanoate
产品CAS:37318-31-3
规格含量:50mg
产品价格:面议
联系我们:
产品详细介绍
标准品编号: G596645
名称: α-D-Glucopyranoside-β-D-fructofuranosyl Octadecanoate
别名: α-​D-​Glucopyranoside β-​D-​fructofuranosyl octadecanoate; alpha-D-Glucopyranoside-beta-D-fructofuranosyl Octadecanoate; Sucrose, stearate (6CI); Cane sugar stearate; Cosmelike S 10; Cosmelike S 110; Crodesta F 110; Crodesta F 140; Crodesta F 160; Crodesta F 90; DK 160; DK 50; DK Ester O 10; DKF 10; DUB-SE 11S; Nitto Ester S 370; Rikemal A; Ryoto S 1170; Ryoto S 170; Ryoto Sugar Ester S 070; Ryoto Sugar Ester S 1170; Ryoto Sugar Ester S 1170F; Ryoto Sugar Ester S 1170S; Ryoto Sugar Ester S 1570; Ryoto Sugar Ester S 170; Ryoto Sugar Ester S 270; Ryoto Sugar Ester S 370F; Ryoto Sugar Ester S 395; Ryoto Sugar Ester S 570; Ryoto Sugar Ester S 70; Ryoto Sugar Ester S 970; Ryoto Sugar Ester SM 1800; S 070; S 1170; S 1570; S 170; S 270; S 395; S 970; SE 1570; SE 970; SEFA polystearate;
CAS号: 37318-31-3
分子式: C₃₀H₅₆O₁₂
外观: 白色至白色固体
分子量: 608.76
种类: Standards; Lipids/Fatty Acids, Glycerol Derivatives; Carbohydrates and Oligosaccharides;
应用: α-D-Glucopyranoside-β-D-fructofuranosyl octadecanoate is a surfactant-​based permeation enhancer used to increase mannitol permeability in excised rat colonic mucosae.
参考文献


2011-2018 信阳莱耀生物科技有限公司 版权所有

中检所标准品,对照品,标准气体
Keywords: 中检所标准品 对照品 标准气体