您的位置:对照品 > 标准物质 > 环保部标准物质 > |
|
|
|
| 产品基本信息 |
|
| 产品编号:F500382 |
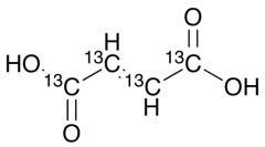
| 产品名称:Fumaric Acid-13C4 |
| 产品CAS:201595-62-2 |
| 规格含量:10mg |
| 产品价格:面议 |
| 联系我们: |
|
|
|
|
|
| 产品详细介绍 |
| 标准品编号: |
F500382 |
| 名称: |
Fumaric Acid-13C4 |
| 别名: |
(2E)-2-Butenedioic Acid-13C4; (2E)-But-2-enedioic Acid-13C4; (E)-2-Butenedioic Acid-13C4; 2-(E)-Butenedioic Acid-13C4; (E)-Butenedioic Acid-13C4; Allomaleic Acid-13C4; Bakeshure 451-13C4; Bakeshure 470-13C4; Boletic Acid-13C4; FC 33-13C4; Lichenic Acid-13C4; NSC 2752-13C4; Petrom-13C4; trans-1,2-Ethylenedicarboxylic Acid-13C4; trans-2-Butenedioic Acid-13C4; trans-Butenedioic Acid-13C4; |
| CAS号: |
201595-62-2 |
| 参考CAS: |
110-17-8-unlabelled |
| 分子式: |
¹³C₄H₄O₄ |
| 外观: |
白色固体 |
| 熔点: |
>290°C (subl.) |
| 分子量: |
120.04 |
| 储存: |
冰箱保存 |
| 溶解度: |
DMSO, Methanol (Sparingly) |
| 种类: |
Building Blocks; Isotopic Labeled Analogues; |
| 应用: |
Labelled Fumaric Acid (F500380). Occurs in many plants. Essential to vegetable and tissue respiration. Used as an antioxidant. |
| 参考文献 |
|
|
|
|
|
|
|
|