欢迎光临:莱耀标准品网!
 您的位置:对照品 > 标准物质 > 环保部标准物质 >
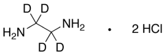
Ethylene Diamine Dihydrochloride-d4
产品基本信息
产品编号:E917712
产品名称:Ethylene Diamine Dihydrochloride-d4
产品CAS:34334-71-9
规格含量:500mg
产品价格:面议
联系我们:
产品详细介绍
标准品编号: E917712
名称: Ethylene Diamine Dihydrochloride-d4
别名: 1,2-Ethanediamine Dihydrochloride-d4; 1,2-Ethanediamine Dihydrochloride-d4; ; 1,2-Diaminoethane Dihydrochloride-d4; Chlor-ethamine-d4; Dimethylenediamine Dihydrochloride-d4; Ethylenediammonium Dichloride-d4
CAS号: 34334-71-9
参考CAS: 未标记:333-18-6 Free Acid/未标记:107-15-
分子式: C₂H₆D₄Cl₂N₂
分子量: 137.04
种类: Building Blocks; Isotopic Labeled Analogues;
应用: Labelled hydrochloride salt of Ethylene Diamine, a chemical reagent used in the production of various derivatives containing varying functional groups. It is also a known chelating agent. It has also been seen to reduce seizures caused by systematic injection of proconvulsants. It displays antiepileptic and anxiolytic activity.
参考文献


2011-2018 信阳莱耀生物科技有限公司 版权所有

中检所标准品,对照品,标准气体
Keywords: 中检所标准品 对照品 标准气体