您的位置:对照品 > 标准物质 > 环保部标准物质 > |
|
|
|
| 产品基本信息 |
|
| 产品编号:E890531 |
| 产品名称:Ethoprophos-d6 |
| 产品CAS: |
| 规格含量:25mg |
| 产品价格:面议 |
| 联系我们: |
|
|
|
|
|
| 产品详细介绍 |
| 标准品编号: |
E890531 |
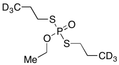
| 名称: |
Ethoprophos-d6 |
| 参考CAS: |
13194-48-4 |
| 分子式: |
C₈H₁₃D₆O₂PS₂ |
| 分子量: |
248.38 |
| 种类: |
Standards; Enzyme Activators and Inhibitors; Pharmaceutical/API Drug Impurities/Metabolites; Environmental Standards, Mutagens and Metabolites; |
| 应用: |
A labelled form of Ethoprophos (E890530), which is an organophosphate non-systemic nematicide and soil insecticide. |
| 参考文献 |
|
|
|
|
|
|