欢迎光临:莱耀标准品网!
 您的位置:对照品 > 标准物质 > 环保部标准物质 >
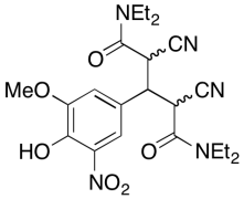
2,4-Dicyano-N1,N1,N5,N5-tetraethyl-3-(4-hydroxy-3-methoxy-5-nitrophenyl)pentanediamide
产品基本信息
产品编号:D438190
产品名称:2,4-Dicyano-N1,N1,N5,N5-tetraethyl-3-(4-hydroxy-3-methoxy-5-nitrophenyl)pentanediamide
产品CAS:
规格含量:10mg
产品价格:面议
联系我们:
产品详细介绍
标准品编号: D438190
名称: 2,4-Dicyano-N1,N1,N5,N5-tetraethyl-3-(4-hydroxy-3-methoxy-5-nitrophenyl)pentanediamide
别名: 2,4-Dicyano-N1,N1,N5,N5-tetraethyl-3-(4-hydroxy-3-methoxy-5-nitrophenyl)pentanediamide; Entacapone 5-Nitrovanillin Dimer Impurity
分子式: C₂₂H₂₉N₅O₆
分子量: 459.5
种类: Standards; Pharmaceutical/API Drug Impurities/Metabolites;
应用: 2,4-Dicyano-N1,N1,N5,N5-tetraethyl-3-(4-hydroxy-3-methoxy-5-nitrophenyl)pentanediamide is a dimer impurity of Entacapone Vanillin (E558500) and (V097500) respectively. Entacapone acts as a peripherally acting inhibitor of catechol-O-methyl transferase (COMT), an enzyme involved in the metabolism of catecholamine neurotransmitters and related drugs.
参考文献


2011-2018 信阳莱耀生物科技有限公司 版权所有

中检所标准品,对照品,标准气体
Keywords: 中检所标准品 对照品 标准气体