您的位置:对照品 > 标准物质 > 环保部标准物质 > |
|
|
|
| 产品基本信息 |
|
| 产品编号:D429498 |
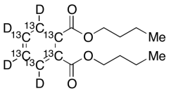
| 产品名称:Dibutyl Phthalate-13C6,d4 |
| 产品CAS: |
| 规格含量:5mg |
| 产品价格:面议 |
| 联系我们: |
|
|
|
|
|
| 产品详细介绍 |
| 标准品编号: |
D429498 |
| 名称: |
Dibutyl Phthalate-13C6,d4 |
| 别名: |
1,2-Benzenedicarboxylic Acid 1,2-Dibutyl Ester-13C6,d4; Phthalic Acid Dibutyl Ester-13C6,d4; Bis-n-butyl Phthalate-13C6,d4; Butyl Phthalate-13C6,d4; DBP; Di(n-butyl) 1,2-Benzenedicarboxylate; Di-n-butyl Phthalate; Dibutyl o-Phthalate; Elaol; Ergoplast Genoplast B; Hatco DBP; Hexaplas M/B; Kodaflex DBP; Monocizer DBP; NSC 6370; Palatinol C; Plasthall DBP; Polycizer DBP; Staflex DBP; Unimoll DB; Vestinol C; n-Butyl Phthalate; DBP-13C6-D4 |
| 参考CAS号: |
84-74-2 unlabelled |
| 分子式: |
C₁₀¹³C₆H₁₈D₄O₄ |
| 分子量: |
288.32 |
| 种类: |
Building Blocks; Isotopic Labeled Analogues; |
| 应用: |
Dibutyl Phthalate-13C6,d4 is an isotope labelled analog of Dibutyl Phthalate, which is a phthalate metabolite with genotoxic effect. |
| 危险品: |
Not a dangerous good if item is equal to or less than 1g/ml and there is less than 100g/ml in the package |
| 参考文献 |
|
|
|
|
|
|