欢迎光临:莱耀标准品网!
 您的位置:对照品 > 标准物质 > 环保部标准物质 >
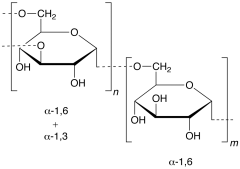
Dextran (~50K)
产品基本信息
产品编号:D299100
产品名称:Dextran (~50K)
产品CAS:9004-54-0
规格含量:5g
产品价格:面议
联系我们:
产品详细介绍
标准品编号: D299100
名称: Dextran (~50K)
别名: Dextrans; DEX 500; Detrax 40; Dextranen; Dextraven; Eudextran; Expandex; G 75; Gentran; Gentran 40; Hemodex; Hyscon; Hyskon; Infucoll; Intrader; Intradex; LMD; LMWD; LU 122; LVD; Longasteril 70; Macrodex; Macrose; Oncovertin N; Onkotin; PL 1S; Plasmafusin; Plasmodex; Plavolex; Polyglucin; Polyglusol; Promit; Rheodextran; Rheoisodex; Rheomacrodex; Rheopolyglucin; Rheopolyglucine; Rheorondex; Rheotran; Rondex; Serva G; T 10; T 110; T 150; T 20; T 250; T 4; T 40; T 5; T 500; T 6; T 70; Ultradex; α-Dextran; Dextran 1.5; Dextran 10; Dextran 1000; Dextran 10000; Dextran 110; Dextran 15; Dextran 150; Dextran 2000; Dextran 20000; Dextran 250; Dextran 3000; Dextran 40; Dextran 40000; Dextran 45; Dextran 500; Dextran 60; Dextran 70; Dextran 75; Dextran B 512; Dextran B1355; Dextran D 10; Dextran P
CAS号: 9004-54-0
参考CAS号: 9011-18-1 sulfate sodium salt
分子式: H(C₆H₁₀O₅)ₓOH
外观: 白色固体
熔点: >254°C (dec.)
分子量: 0
储存: Room Temperature
溶解性: Aqueous Base (Slightly), Water (Slightly)
种类: Standards; Enzyme Activators and Inhibitors; Pharmaceutical/API Drug Impurities/Metabolites; Carbohydrates and Oligosaccharides;
应用: A polysaccharide composed of glucose molecules used as an antithrombotic to reduce blood viscosity and as a volume expander in anemia. Studies show that it inhibits the mannose receptor-mediated clearance of tissue-type plasminogen activator (t-PA).
参考文献


2011-2018 信阳莱耀生物科技有限公司 @ 信阳埃尔文生物科技有限公司版权所有

中检所标准品,对照品,标准气体
Keywords: 中检所标准品 对照品 标准气体