您的位置:对照品 > 标准物质 > 环保部标准物质 > |
|
|
|
| 产品基本信息 |
|
| 产品编号:D288410 |
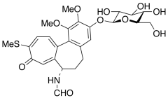
| 产品名称:N-Desacetyl-N-formyl Thiocolchicoside |
| 产品CAS:219547-29-2 |
| 规格含量:5mg |
| 产品价格:面议 |
| 联系我们: |
|
|
|
|
|
| 产品详细介绍 |
| 标准品编号: |
D288410 |
| 名称: |
N-Desacetyl-N-formyl Thiocolchicoside |
| 别名: |
N-[(7S)-3-(β-D-Glucopyranosyloxy)-5,6,7,9-tetrahydro-1,2-dimethoxy-10-(methylthio)-9-oxobenzo[a]heptalen-7-yl]formamide; |
| CAS号: |
219547-29-2 |
| 分子式: |
C₂₆H₃₁NO₁₀S |
| 外观: |
Light Green to Yellow Solid |
| 熔点: |
182-188ºC |
| 分子量: |
549.59 |
| 储存: |
Hygroscopic, 冰箱保存, under inert atmosphere |
| 溶解性: |
DMSO (Slightly), Methanol (Slightly) |
| 稳定性: |
Hygroscopic |
| 种类: |
Standards; Pharmaceutical/API Drug Impurities/Metabolites; Carbohydrates and Oligosaccharides; |
| 应用: |
An alkaloid from colchicine derivative. |
| 参考文献 |
|
|
|
|
|
|
|
|