欢迎光临:莱耀标准品网!
 您的位置:对照品 > 标准物质 > 环保部标准物质 >
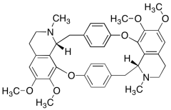
Cycleanine
产品基本信息
产品编号:C990260
产品名称:Cycleanine
产品CAS:518-94-5
规格含量:2.5mg
产品价格:面议
联系我们:
产品详细介绍
标准品编号: C990260
名称: Cycleanine
别名: (-)-Cycleanine; [12aR-(12aR*,24aR*)]-2,3,12a,13,14,15,24,24a-Octahydro-5,6,17,18-tetramethoxy-1,13-dimethyl-8,11:20,23-dietheno-1H,12H-[1,10]dioxacyclooctadecino[2,3,4-ij:11,12,13-i'j']diisoquinoline; Alkaloid B, from Cissampelos pareira; Dimethylisochondodendrine; O,O-Dimethylisochondodendrin; O,O-Dimethylisochondrodendrine; O,O'-Dimethylisochondrodendrine; O-Methylnorcycleanine; [12aR-(12aR*,24aR*)]-2,3,12a,13,14,15,24,24a-Octahydro-5,6,17,18-tetramethoxy-1,13-dimethyl-8,11:20,23-dietheno-1H,12H-[1,10]dioxacyclooctadecino[2,3,4-ij:11,12,13-i'j']diisoquinoline
CAS号: 518-94-5
分子式: C₃₈H₄₂N₂O₆
分子量: 622.75
种类: Standards; Pharmaceutical/API Drug Impurities/Metabolites;
应用: Cycleanine is an alkaloid obtained from the Triclisia subcordata Oliv (Menispermeaceae) which is a medicinal plant used to treat various diseases in West Africa. Displays in-vitro anti-ovarian cancer activity.
参考文献


2011-2018 信阳莱耀生物科技有限公司 @ 信阳埃尔文生物科技有限公司版权所有

中检所标准品,对照品,标准气体
Keywords: 中检所标准品 对照品 标准气体