您的位置:对照品 > 标准物质 > 标准样品 > |
|
|
|
| 产品基本信息 |
|
| 产品编号:M750258 |
| 产品名称:MRS 2768 Tetrasodium Salt |
| 产品CAS: |
| 规格含量: |
| 产品价格:面议 |
| 联系我们: |
|
|
|
|
|
| 产品详细介绍 |
| 标准品编号: |
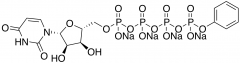
M750258 |
| 名称: |
MRS 2768 Tetrasodium Salt |
| 别名: |
Uridine-5'-tetraphosphate δ-phenyl Ester Tetrasodium Salt |
| 参考CAS号: |
Free acid 1047980-83-5 |
| 分子式: |
C₁₅H₁₆N₂O₁₈P₄Na₄ |
| 分子量: |
728.14 |
| 种类: |
Standards; Pharmaceutical/API Drug Impurities/Metabolites; |
| 应用: |
MRS 2768 Tetrasodium Salt is a selective P2Y agonist and may modulate platelet function via the G-protein coupled receptors. |
| 参考文献 |
|
|
|
|
|
|