欢迎光临:莱耀标准品网!
 您的位置:对照品 > 标准物质 > 标准样品 >
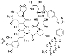
Micafungin-d11 Sodium
产品基本信息
产品编号:M342352
产品名称:Micafungin-d11 Sodium
产品CAS:
规格含量:25mg
产品价格:面议
联系我们:
产品详细介绍
标准品编号: M342352
名称: Micafungin-d11 Sodium
别名: 1-[(4R,5R)-4,5-Dihydroxy-N2-[4-[5-[4-(pentyloxy)phenyl]-3-isoxazolyl]benzoyl]-L-ornithine]-4-[(4S)-4-hydroxy-4-[4-hydroxy-3-(sulfooxy)phenyl]-L-threonine]pneumocandin A0 Monosodium Salt-d11; Funguard-d11; FK 463-d11
参考CAS号: Unlabelled: 208538-73-2
分子式: C₅₆H₅₉D₁₁N₉NaO₂₃S
分子量: 1303.32
种类: Standards; Phenethylamines/Amphetamines;
应用: Micafungin-d11 Sodium is the isotope labelled analog of Micafungin Sodium (M342350); an echinocandin antifungal drug which inhibits the synthesis of 1,3-β-D-glucan, an essential component of the fungal cell wall. Micafungin Sodium also represents a valuable treatment option for fungal infections.
参考文献


2011-2018 信阳莱耀生物科技有限公司 版权所有

中检所标准品,对照品,标准气体
Keywords: 中检所标准品 对照品 标准气体