欢迎光临:莱耀标准品网!
 您的位置:对照品 > 标准物质 > 标准样品 >
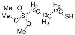
3-Mercaptopropyl Trimethoxylsilane-13C3
产品基本信息
产品编号:M225427
产品名称:3-Mercaptopropyl Trimethoxylsilane-13C3
产品CAS:
规格含量:2.5mg
产品价格:面议
联系我们:
产品详细介绍
标准品编号: M225427
名称: 3-Mercaptopropyl Trimethoxylsilane-13C3
别名: 3-(Trimethoxysilyl)-1-propanethiol-13C3; (3-Mercaptopropyl)trimethoxysilane-13C3; (3-Thiopropyl)trimethoxysilane-13C3; (γ-Mercaptopropyl)trimethoxysilane-13C3; 3-(Sulfanylpropyl)trimethoxysilane-13C3; 3-(Trimethoxysilyl)propanethiol-13C3; 3-(Trimethoxysilyl)propyl Mercaptan-13C3; 3-MPTMS-13C3; A 160-13C3; A 160-13C3 (coupling agent); A 183-13C3; A 183-13C3 (coupling agent); A 189-13C3; AZ 6129-13C3; Acryloxypropyl Methylsiloxane-3-mercaptopropyltrimethoxysilane Copolymer-13C3; DB 590-13C3; Dynasylan-13C3; MTMO-13C3; Dynasylan NTNS-13C3; GF 70-13C3; KBE 803-13C3; KBM 803-13C3; KBM 803P-13C3; KH 590-13C3; KH 591-13C3; LMD 80-13C3; LS 1390-13C3; M 0928-13C3; M 8500-13C3; M 8500-13C3 (coupling agent); MPS-13C3; MPS-M-13C3; MPTMS-13C3; MPTS-13C3; NUC-A 189-13C3; Prosil 196-13C3; S 810-13C3; SC
参考CAS号: Unlabelled: 4420-74-0
分子式: C₃¹³C₃H₁₆O₃SSi
分子量: 199.32
种类: Building Blocks; Isotopic Labeled Analogues;
应用: 3-Mercaptopropyl Trimethoxylsilane-13C3 is the isotope labelled analog of 3-Mercaptopropyl Trimethoxylsilane, a useful compound in the synthesis of sulfonic acid-functionalized hybrid organic-inorganic proton exchange membranes.
参考文献


2011-2018 信阳莱耀生物科技有限公司 版权所有

中检所标准品,对照品,标准气体
Keywords: 中检所标准品 对照品 标准气体