您的位置:对照品 > 标准物质 > 标准样品 >
产品基本信息
产品编号:H950150
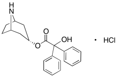
产品名称:endo-α-Hydroxy-α-phenylbenzeneacetic Acid 8-Azabicyclo[3.2.1]oct-3-yl
产品CAS:63516-30-3
规格含量:250mg
产品价格:面议
联系我们:
产品详细介绍
标准品编号:
H950150
名称:
endo-α-Hydroxy-α-phenylbenzeneacetic Acid 8-Azabicyclo[3.2.1]oct-3-yl Ester Hydrochloride
别名:
α-Hydroxy-α-phenylbenzeneacetic Acid (3-endo)-8-Azabicyclo[3.2.1]oct-3-yl Ester Hydrochloride (1:1); USP Trospium Chloride Related Compound B; (1R,3r,5S)-8-Azabicyclo[3.2.1]octan-3-yl Hydroxydiphenylacetate;
CAS号:
63516-30-3
参考CAS号:
Free Base: 16444-19-2
分子式:
C₂₁H₂₄ClNO₃
外观:
白色至白色固体
熔点:
232 - 235°C
分子量:
373.87
储存:
冰箱
溶解度:
DMSO (Slightly), Ethanol (Slightly), Methanol (Slightly)
种类:
Research Tools; Pharmaceutical/API Drug Impurities/Metabolites;
应用:
endo-α-Hydroxy-α-phenylbenzeneacetic Acid 8-Azabicyclo[3.2.1]oct-3-yl Ester Hydrochloride, is a derivative of Trospium Chloride (T892800), which is an Antispasmodic, used in treatment of urinary incontinence.
参考文献
Antweiler, H., et al.: Arzneim.-Forsch., 16, 1581 (1966), Lux, G., et al.: Fortschr. Med., 96, 2113 (1978), Madersbacher, H., et al.: Br. J. Urol., 75, 452 (1995), Zinner, N.R., et al.: Expert Opin. Pharmacother., 6, 1409 (2005),
Download MSDS File