欢迎光临:莱耀标准品网!
 您的位置:对照品 > 标准物质 > 标准样品 >
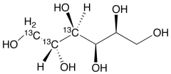
D-Glucitol-4,5,6-13C3
产品基本信息
产品编号:G415811
产品名称:D-Glucitol-4,5,6-13C3
产品CAS:
规格含量:25mg
产品价格:面议
联系我们:
产品详细介绍
标准品编号: G415811
名称: D-Glucitol-4,5,6-13C3
别名: D-Sorbitol-4,5,6-13C3; Glucarine-4,5,6-13C3; Esasorb-4,5,6-13C3; Cholaxine-4,5,6-13C3; Karion-4,5,6-13C3; Sionite-4,5,6-13C3; Sionon-4,5,6-13C3;
参考CAS号: Unlabelled: 50-70-4
分子式: C₃¹³C₃H₁₄O₆
外观: 白色固体
熔点: 65 - 67°C
分子量: 185.15
储存: 冰箱
溶解度: DMSO (Slightly), Methanol (Slightly)
种类: Building Blocks; Isotopic Labeled Analogues;
应用: Isotope labelled D-Glucitol is a sugar alcohol obtained from the reduction of glucose and is naturally found in various fruits such as apples, pears and peaches. D-Glucitol has been widely used as a sweetener, laxative, various medical applications and in cosmetic products.
参考文献


2011-2018 信阳莱耀生物科技有限公司 版权所有

中检所标准品,对照品,标准气体
Keywords: 中检所标准品 对照品 标准气体