您的位置:对照品 > 标准物质 > 标准样品 > |
|
|
|
| 产品基本信息 |
|
| 产品编号:E888895 |
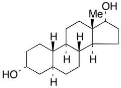
| 产品名称:5α-Estrane-3α,17α-diol |
| 产品CAS:481695-77-6 |
| 规格含量:10mg |
| 产品价格:面议 |
| 联系我们: |
|
|
|
|
|
| 产品详细介绍 |
| 标准品编号: |
E888895 |
| 名称: |
5α-Estrane-3α,17α-diol |
| 别名: |
(3α,5α,17α)-Estrane-3,17-diol; |
| CAS号: |
481695-77-6 |
| 分子式: |
C₁₈H₃₀O₂ |
| 分子量: |
278.43 |
| 种类: |
Standards; Pharmaceutical/API Drug Impurities/Metabolites; Steroids; |
| 应用: |
Endogenous estrogen. |
| 参考文献 |
|
|
|
|
|
|