欢迎光临:莱耀标准品网!
 您的位置:对照品 > 标准物质 > 标准样品 >
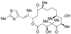
Epothilone B (synthetic)
产品基本信息
产品编号:E588990
产品名称:Epothilone B (synthetic)
产品CAS:152044-54-7
规格含量:1mg
产品价格:面议
联系我们:
产品详细介绍
标准品编号: E588990
名称: Epothilone B (synthetic)
别名: (1S,3S,7S,10R,11S,12S,16R)-7,11-Dihydroxy-8,8,10,12,16-pentamethyl-3-[(1E)-1-methyl-2-(2-methyl-4-thiazolyl)ethenyl]-4,17-dioxabicyclo[14.1.0]heptadecane-5,9-dione; (-)-Epothilone B; EPO 906; EPO 906A; Epothilone B; Patupilone;
CAS号: 152044-54-7
分子式: C₂₇H₄₁NO₆S
外观: 白色固体
熔点: 95-97°C
分子量: 507.68
储存: -20°C Freezer, Under Inert Atmosphere
溶解度: Chloroform, Dichloromethane, DMSO, Ethanol, Methanol
种类: Standards; Chiral Molecules; Enzyme Activators and Inhibitors; Pharmaceutical/API Drug Impurities/Metabolites;
应用: Epothilones are polyketide natural products that inhibit cancer cells by a mechanism similar to paclitaxel, and also are effective against paclitaxel-resistant tumours. Epothilone B is what is known as a microtubule stabilizer. When a cell divides, the chromosomes that will end up in each cell are separated by thin filaments called microtubules. Normally these microtubules then break down as the cell division progresses. This class of cytotoxic chemo drugs prevents that break down and thus prevents cells from completing division.
参考文献


2011-2018 信阳莱耀生物科技有限公司 版权所有

中检所标准品,对照品,标准气体
Keywords: 中检所标准品 对照品 标准气体