您的位置:对照品 > 标准物质 > 标准样品 > |
|
|
|
| 产品基本信息 |
|
| 产品编号:D444773 |
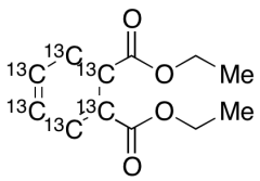
| 产品名称:Diethyl Phthalate-13C6 |
| 产品CAS: |
| 规格含量:10mg |
| 产品价格:面议 |
| 联系我们: |
|
|
|
|
|
| 产品详细介绍 |
| 标准品编号: |
D444773 |
| 名称: |
Diethyl Phthalate-13C6 |
| 别名: |
1,2-Benzenedicarboxylic Acid 1,2-Diethyl Ester-13C6; 1,2-Benzenedicarboxylic Acid Diethyl Ester-13C6; Phthalic Acid Diethyl Ester-13C6; Anozol-13C6; DEP-13C6; Diethyl 1,2-Benzenedicarboxylate-13C6; Diethyl Phthalate-13C6; Ethyl Phthalate-13C6; NSC 8905-13C6; Neantine-13C6; Palatinol VIP(LA)13C6; Phthalol-13C6; Placidol E-13C6; Solvanol-13C6; Unimoll DVIP(LA)13C6; o-Benzenedicarboxylic Acid Diethyl Ester-13C6; o-Bis(ethoxycarbonyl)benzene-13C6 |
| 参考CAS号: |
84-66-2 unlabelled |
| 分子式: |
C₆¹³C₆H₁₄O₄ |
| 分子量: |
452.35 |
| 种类: |
Building Blocks; Isotopic Labeled Analogues; |
| 应用: |
Diethyl Phthalate-13C6 is labelled Diethyl Phthalate (D44470) which is a phthalate metabolite with genotoxic effect. |
| 参考文献 |
|
|
|
|
|
|