您的位置:对照品 > 标准物质 > 一级标准物质 > |
|
|
|
| 产品基本信息 |
|
| 产品编号:G419103 |
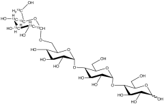
| 产品名称:6-α-D-Glucopyranosyl Maltotriose-13C6 |
| 产品CAS: |
| 规格含量:1mg |
| 产品价格:面议 |
| 联系我们: |
|
|
|
|
|
| 产品详细介绍 |
| 标准品编号: |
G419103 |
| 名称: |
6-α-D-Glucopyranosyl Maltotriose-13C6 |
| 别名: |
4-O-[4-O-(6-O-α-D-Glucopyranosyl-α-D-glucopyranosyl)-α-D-glucopyranosyl]-D-glucopyranose-13C6; Glc-α-1,6-Glc-α-1,4-Glc-α-1,4Glc-13C6; |
| 参考CAS号: |
34336-93-1-unlabelled |
| 分子式: |
C₁₈¹³C₆H₄₂O₂₁ |
| 外观: |
白色固体 |
| 熔点: |
>170°C (dec.) |
| 分子量: |
672.53 |
| 储存: |
Hygroscopic, -20°C Freezer, Under inert atmosphere |
| 溶解度: |
Methanol (Very Slightly), Water (Slightly) |
| 种类: |
Standards; Isotopic Labeled Analogues; Carbohydrates and Oligosaccharides; |
| 应用: |
Labelled 6-α-D-Glucopyranosyl Maltotriose (G419100). Sugar composition of sake. |
| 参考文献 |
|
|
|
|
|
|
|
|