您的位置:对照品 > 标准物质 > 一级标准物质 >
产品基本信息
产品编号:G413303
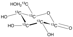
产品名称:D-Glucono-1,5-lactone-13C6
产品CAS:
规格含量:100mg
产品价格:面议
联系我们:
产品详细介绍
标准品编号:
G413303
名称:
D-Glucono-1,5-lactone-13C6
别名:
Gluconic Acid Lactone-13C6; D- Gluconic Acid Lactone-13C6; D-Gluconic Acid-13C6, δ-Lactone,(8CI); 1,5-Gluconolactone-13C6; D-(+)-Gluconic Acid δ-Lactone-13C6; D-(+)-Glucono-1,5-lactone-13C6; D-(+)-Glucono-δ-lactone-13C6; D-Gluconic Acid 1,5-Lactone-13C6; D-Gluconic Acid Lactone-13C6; D-Glucono-1,5-lactone-13C6; D-Glucono-δ-lactone-13C6; E 575-13C6; Fujiglucon-13C6; Gluconolactone-13C6; Lysactone-13C6; Riken Lactone-13C6; δ-Gluconolactone-13C6; D-Gluconic Acid δ-Lactone -13C6
参考CAS号:
Unlabelled: 90-80-2
分子式:
¹³C₆H₁₀O₆
外观:
白色固体
熔点:
128-143ºC
分子量:
184.09
储存:
Hygroscopic, 冰箱, under inert atmosphere
溶解度:
DMSO (Slightly), Water (Slightly)
种类:
Standards; Isotopic Labeled Analogues; Carbohydrates and Oligosaccharides;
应用:
Isotope labelled D-glucono-1,5-lactone is the lactone derivative of D-gluconic acid. D-glucono-1,5-lactone is widely used as a food additive to achieve a curing, pickling or leavening effect.
参考文献
Hidalgo, M.E., et al.: Int. J. Dairy. Technol., 65, 342 (2012); Li, F., et al.: Food. Hydrocolloids., 29, 347 (2012);
Download MSDS File